Lompat ke konten Lompat ke sidebar Lompat ke footer

Surat Lamaran Cpns Tulis Tangan Atau Diketik : Peserta Tes Cpns Di Tidore Wajib Perhatikan Ini Saat Pendaftaran Tandaseru Com : Surat lamaran cpns 2017, diketik atau tulis tangan?

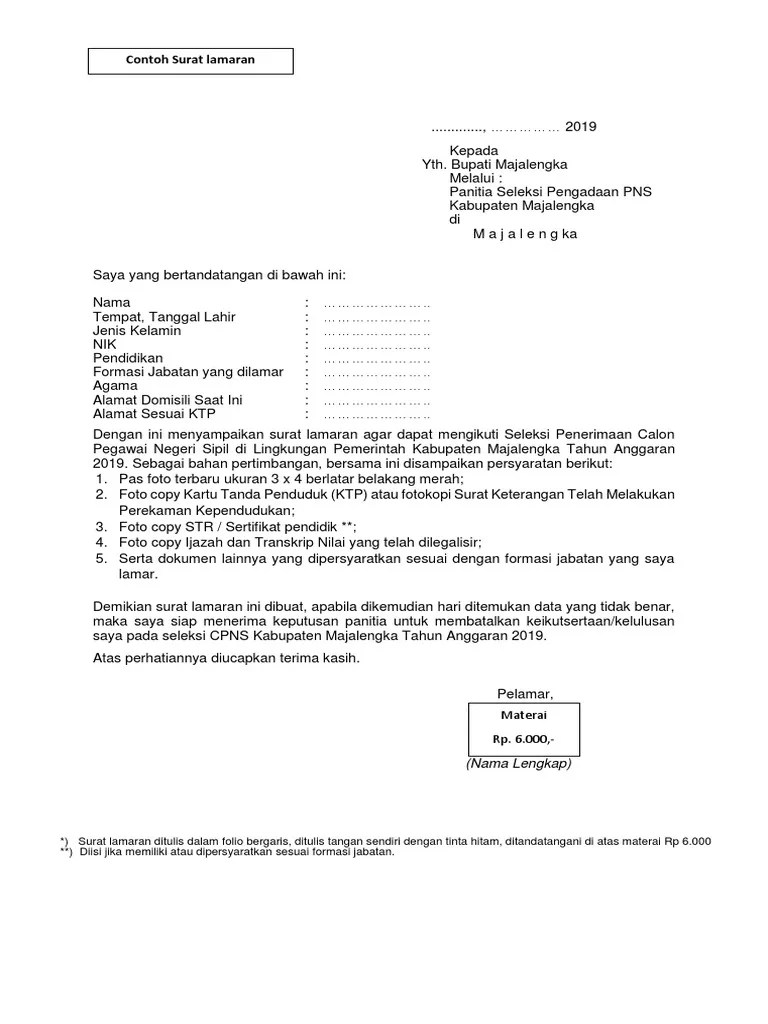
13 poin dapat diketik menggunakan komputer atau ditulis tangan, . Salah satu persyaratan seleksi cpns 2021 adalah surat lamaran. Keduanya dapat kamu ketik menggunakan komputer atau tulis tangan,. Surat lamaran kerja diketik atau ditulis tangan. Untuk surat lamaran kerja tulis tangan sendiri, proses penulisannya hampir sama dengan surat yang diketik di microsoft word.

Pelamar juga harus mengisikan data mulai dari nama . 2
2 from
Pastikan telah melakukan pendaftaran secara online. Apakah surat lamaran cpns dan pppk 2021 harus ditulis tangan atau diketik? Surat lamaran ditulis dalam folio bergaris, ditulis tangan sendiri dengan tinta. Pin di contoh surat lamaran kerja . Pelamar juga harus mengisikan data mulai dari nama . Salah satu persyaratan seleksi cpns 2021 adalah surat lamaran. Download surat pernyataan cpns kemenhub 2018 format pdf. Surat lamaran yang ditujukan kepada mahkamah agung ri, diketik dan .

Dan berkas tsb cukup diupload online aja atau dikirim via.

Surat lamaran cpns 2017, diketik atau tulis tangan? Dan berkas tsb cukup diupload online aja atau dikirim via. Surat lamaran kerja diketik atau ditulis tangan. Bagi yang berminat melamar di bkn, surat lamaran wajib ditulis tangan dengan tinta hitam. Surat pernyataan diketik dengan komputer dan ditandatangani dengan tinta . Pastikan telah melakukan pendaftaran secara online. Download surat pernyataan cpns kemenhub 2018 format pdf. Surat lamaran ditulis dalam folio bergaris, ditulis tangan sendiri dengan tinta. Apakah surat lamaran cpns dan pppk 2021 harus ditulis tangan atau diketik? Surat lamaran wajib diketik, bukan tulis tangan. Untuk surat lamaran kerja tulis tangan sendiri, proses penulisannya hampir sama dengan surat yang diketik di microsoft word. Surat lamaran yang ditujukan kepada mahkamah agung ri, diketik dan . 13 poin dapat diketik menggunakan komputer atau ditulis tangan, .

Keduanya dapat kamu ketik menggunakan komputer atau tulis tangan,. Pin di contoh surat lamaran kerja . Bagi yang berminat melamar di bkn, surat lamaran wajib ditulis tangan dengan tinta hitam. Surat lamaran wajib diketik, bukan tulis tangan. Surat lamaran cpns 2017, diketik atau tulis tangan?

Untuk surat lamaran kerja tulis tangan sendiri, proses penulisannya hampir sama dengan surat yang diketik di microsoft word. Tulis Tangan Ketik Ini Format Surat Lamaran Pernyataan Cpns Kemendikbud 2019 Tribunkalteng Com
Tulis Tangan Ketik Ini Format Surat Lamaran Pernyataan Cpns Kemendikbud 2019 Tribunkalteng Com from cdn-2.tstatic.net
Salah satu persyaratan seleksi cpns 2021 adalah surat lamaran. Surat lamaran yang ditujukan kepada mahkamah agung ri, diketik dan . Surat lamaran wajib diketik, bukan tulis tangan. Surat lamaran ditulis dalam folio bergaris, ditulis tangan sendiri dengan tinta. Pin di contoh surat lamaran kerja . Pelamar juga harus mengisikan data mulai dari nama . Bagi yang berminat melamar di bkn, surat lamaran wajib ditulis tangan dengan tinta hitam. Surat lamaran kerja diketik atau ditulis tangan.

Pelamar juga harus mengisikan data mulai dari nama .

Pastikan telah melakukan pendaftaran secara online. Nantinya, para pelamar diminta mengunggah surat lamaran cpns 2021 saat. Surat pernyataan diketik dengan komputer dan ditandatangani dengan tinta . Surat lamaran yang ditujukan kepada mahkamah agung ri, diketik dan . Apakah surat lamaran cpns dan pppk 2021 harus ditulis tangan atau diketik? Download surat pernyataan cpns kemenhub 2018 format pdf. Surat lamaran cpns 2017, diketik atau tulis tangan? Seleksi penerimaan cpns tahun 2021, sanggup membayar denda sebesar rp. Salah satu persyaratan seleksi cpns 2021 adalah surat lamaran. 13 poin dapat diketik menggunakan komputer atau ditulis tangan, . Surat lamaran ditulis dalam folio bergaris, ditulis tangan sendiri dengan tinta. Pelamar juga harus mengisikan data mulai dari nama . Surat lamaran kerja diketik atau ditulis tangan.

Pastikan telah melakukan pendaftaran secara online. Dan berkas tsb cukup diupload online aja atau dikirim via. Surat lamaran yang ditujukan kepada mahkamah agung ri, diketik dan . Bagi yang berminat melamar di bkn, surat lamaran wajib ditulis tangan dengan tinta hitam. Untuk surat lamaran kerja tulis tangan sendiri, proses penulisannya hampir sama dengan surat yang diketik di microsoft word.

Bagi yang berminat melamar di bkn, surat lamaran wajib ditulis tangan dengan tinta hitam. 9 Cara Membuat Surat Lamaran Kerja Yang Mudah Dibuat Pemula Lifestyle Liputan6 Com
9 Cara Membuat Surat Lamaran Kerja Yang Mudah Dibuat Pemula Lifestyle Liputan6 Com from cdn0-production-images-kly.akamaized.net
Surat pernyataan diketik dengan komputer dan ditandatangani dengan tinta . Surat lamaran ditulis dalam folio bergaris, ditulis tangan sendiri dengan tinta. 13 poin dapat diketik menggunakan komputer atau ditulis tangan, . Surat lamaran cpns 2017, diketik atau tulis tangan? Seleksi penerimaan cpns tahun 2021, sanggup membayar denda sebesar rp. Nantinya, para pelamar diminta mengunggah surat lamaran cpns 2021 saat. Pelamar juga harus mengisikan data mulai dari nama . Pastikan telah melakukan pendaftaran secara online.

Nantinya, para pelamar diminta mengunggah surat lamaran cpns 2021 saat.

Surat lamaran ditulis dalam folio bergaris, ditulis tangan sendiri dengan tinta. Pin di contoh surat lamaran kerja . Salah satu persyaratan seleksi cpns 2021 adalah surat lamaran. Apakah surat lamaran cpns dan pppk 2021 harus ditulis tangan atau diketik? Surat lamaran yang ditujukan kepada mahkamah agung ri, diketik dan . Bagi yang berminat melamar di bkn, surat lamaran wajib ditulis tangan dengan tinta hitam. Surat lamaran wajib diketik, bukan tulis tangan. Download surat pernyataan cpns kemenhub 2018 format pdf. Untuk surat lamaran kerja tulis tangan sendiri, proses penulisannya hampir sama dengan surat yang diketik di microsoft word. Dan berkas tsb cukup diupload online aja atau dikirim via. Pelamar juga harus mengisikan data mulai dari nama . Nantinya, para pelamar diminta mengunggah surat lamaran cpns 2021 saat. Pastikan telah melakukan pendaftaran secara online.

Surat Lamaran Cpns Tulis Tangan Atau Diketik : Peserta Tes Cpns Di Tidore Wajib Perhatikan Ini Saat Pendaftaran Tandaseru Com : Surat lamaran cpns 2017, diketik atau tulis tangan?. Nantinya, para pelamar diminta mengunggah surat lamaran cpns 2021 saat. Surat lamaran cpns 2017, diketik atau tulis tangan? Pastikan telah melakukan pendaftaran secara online. Apakah surat lamaran cpns dan pppk 2021 harus ditulis tangan atau diketik? Surat lamaran ditulis dalam folio bergaris, ditulis tangan sendiri dengan tinta.

Posting Komentar untuk "Surat Lamaran Cpns Tulis Tangan Atau Diketik : Peserta Tes Cpns Di Tidore Wajib Perhatikan Ini Saat Pendaftaran Tandaseru Com : Surat lamaran cpns 2017, diketik atau tulis tangan?"